توابع نمایی و لگاریتمی- جلسه3

مهارت و آزمون
مهارت و آزمون

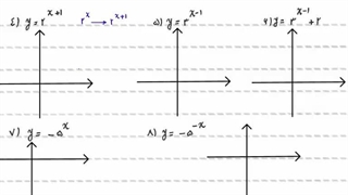
معرفی توابع لگاریتمی
و
بررسی نمودار آنها
آدرس متن درس(جزوه) برای دانلود:
https://s34.picofile.com/file/8489056284/%D8%AC%D8%B2%D9%88%D9%87_%DA%A9%D8%A7%D9%85%D9%84_%D8%AA%D8%AC%D8%B1%D8%A8%DB%8C_1404.pdf.html

نظرات

نماد کانال
نظری برای نمایش وجود ندارد.

توضیحات

توابع نمایی و لگاریتمی- جلسه3

۰ لایک
۰ نظر

معرفی توابع لگاریتمی
و
بررسی نمودار آنها
آدرس متن درس(جزوه) برای دانلود:
https://s34.picofile.com/file/8489056284/%D8%AC%D8%B2%D9%88%D9%87_%DA%A9%D8%A7%D9%85%D9%84_%D8%AA%D8%AC%D8%B1%D8%A8%DB%8C_1404.pdf.html

آموزش