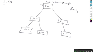
آموزش مسیریابی سیسکو CCNP Routing - قسمت سوم

۰ نظر گزارش تخلف
mihanlearn
کانال تایید شده mihanlearn

جهت دانلود آموزش های بیشتر در زمینه علوم کامپیوتر به سایت میهن لرن مراجعه کنید:
http://www.mihanlearn.net

نظرات

نماد کانال
نظری برای نمایش وجود ندارد.

توضیحات

آموزش مسیریابی سیسکو CCNP Routing - قسمت سوم

۰ لایک
۰ نظر

جهت دانلود آموزش های بیشتر در زمینه علوم کامپیوتر به سایت میهن لرن مراجعه کنید:
http://www.mihanlearn.net

آموزش