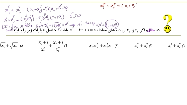
حل تمرین روابط بین ریشه ها و نکات معادله درجه ۲

۲ نظر گزارش تخلف
دبیر ریاضی
دبیر ریاضی

نظرات (۲)

Loading...

توضیحات

حل تمرین روابط بین ریشه ها و نکات معادله درجه ۲

۱ لایک
۲ نظر