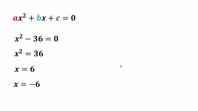
محاسبات سریع قسمت ششم حل معادله درجه 2 حالت خاص 4

۰ نظر گزارش تخلف
mehdi moradi
mehdi moradi

آموزش محاسبات سریع
توسط مهندس مهدی مرادی
رتبه ۱ کنکور ارشد
با ۱۳ سال سابقه تدریس
مدرس استان های تهران ، خوزستان ، کرمانشاه و ...
مدرس و مشاور کنکور
بیشترین آمار قبولی در کنکور ۹۹

نظرات

نماد کانال
نظری برای نمایش وجود ندارد.

توضیحات

محاسبات سریع قسمت ششم حل معادله درجه 2 حالت خاص 4

۰ لایک
۰ نظر

آموزش محاسبات سریع
توسط مهندس مهدی مرادی
رتبه ۱ کنکور ارشد
با ۱۳ سال سابقه تدریس
مدرس استان های تهران ، خوزستان ، کرمانشاه و ...
مدرس و مشاور کنکور
بیشترین آمار قبولی در کنکور ۹۹

آموزش