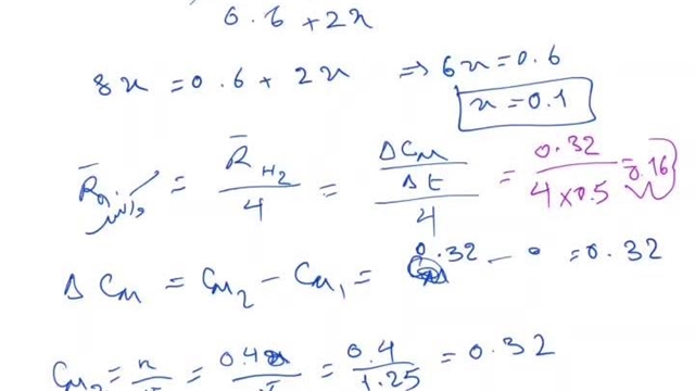
تحلیل کامل سوالات کنکور تجربی 1402 نوبت دوم پاسخ سوال 90 سرعت واکنش شیمی یازدهم

Iranian Chemist
Iranian Chemist

کلاس خصوصی آنلاین شیمی کنکور و المپیاد شیمی دکتر مهدی نباتی - آموزش روش های تکنیکی و کنکوری حل سوالات پیچیده شیمی کنکور و المپیاد شیمی
دکتر مهدی نباتی - شماره تماس (پیام رسان imo) 09053190439 جهت هماهنگی کلاس های خصوصی شیمی کنکور 1404 و المپیاد شیمی 1403
مدرس شیمی کنکور تجربی و ریاضی از سال 85 تا کنون
استاد برتر شیمی کنکور تهران و مدرس شیمی رتبه های تک رقمی و دو رقمی کنکور تجربی و ریاضی ایران
تدریس شیمی متوسطه اول (هفتم، هشتم و نهم) و متوسطه دوم (دهم، یازدهم و دوازدهم)
رنکینگ شماره ۱ بهترین دبیران و اساتید شیمی کنکور ایران
عضو انجمن شیمی و مهندسی شیمی ایران از سال ۸۹ تا کنون
فارغ التحصیل دکتری شیمی آلی از تبریز
نمره دفاع از تز دکتری ۲۰
نمره دفاع از پایان نامه کارشناسی ارشد ۲۰
نمره آزمون جامع دوره دکتری ۲۰
اتمام دوره دکتری در ۳ سال تحصیلی با معدل ۲۰
مؤلف بیش از ۷۰ مقاله علمی بین المللی شیمی دارویی در بهترین مجلات شیمی اروپا و آمریکا
داور بین المللی ۱۴ ژورنال علمی شیمی اروپا و آمریکا
انتخاب به عنوان پژوهشگر پر استناد با کسب اچ ایندکس بین المللی ۱۷ از بنیاد پژوهشی آمریکایی گوگل اسکالر
استاد رتبه های تک رقمی و دو رقمی کنکور تجربی تهران
قبولی بیش از صدها دانش آموز در رشته های برتر (پزشکی، دندان پزشکی، داروسازی، شیمی، مکانیک، عمران و برق و ) در دانشگاه های برتر کشور
طراح سوالات شیمی آزمون های آزمایشی
ادیتور و ارزیابی کننده سطح کیفی کتاب های کمک آموزشی و تستی
*************************
استاد نباتی مدرس برتر تهران و کرج و دبیر پروازی به شهرهای شیراز و تبریز و مشهد و اصفهان و قم و اهواز و ساری و رشت و کرمانشاه و مدیر مجموعه آموزشی شیمیدان ایرانی می باشند و با سابقه آموزش از سال 85 تا الان، تدریس درس شیمی کنکور برای چندین رتبه برتر (ده ها تک رقمی و دو رقمی) و همچنین دانش آموزان تیزهوشان تهران و شیراز و اصفهان و تبریز و رشت و ارومیه و خرم آباد و .... و برترین مدارس و آموزشگاه های ایران را دارند.
استاد مهدی نباتی بر اساس آخرین رنکینگ دبیران شیمی ایران که همه ساله توسط موسسات آموزشی برند ایران اعلام می شود هم اکنون رنکینگ شماره 1 دبیران شیمی ایران را دارند.
**************
شماره تماس (پیام رسان imo) 09053190439 جهت هماهنگی کلاس های خصوصی آنلاین و حضوری شیمی کنکور تجربی و ریاضی

نظرات

در حال حاضر امکان درج نظر برای این ویدیو غیرفعال است.

توضیحات

تحلیل کامل سوالات کنکور تجربی 1402 نوبت دوم پاسخ سوال 90 سرعت واکنش شیمی یازدهم

۰ لایک
۰ نظر

کلاس خصوصی آنلاین شیمی کنکور و المپیاد شیمی دکتر مهدی نباتی - آموزش روش های تکنیکی و کنکوری حل سوالات پیچیده شیمی کنکور و المپیاد شیمی
دکتر مهدی نباتی - شماره تماس (پیام رسان imo) 09053190439 جهت هماهنگی کلاس های خصوصی شیمی کنکور 1404 و المپیاد شیمی 1403
مدرس شیمی کنکور تجربی و ریاضی از سال 85 تا کنون
استاد برتر شیمی کنکور تهران و مدرس شیمی رتبه های تک رقمی و دو رقمی کنکور تجربی و ریاضی ایران
تدریس شیمی متوسطه اول (هفتم، هشتم و نهم) و متوسطه دوم (دهم، یازدهم و دوازدهم)
رنکینگ شماره ۱ بهترین دبیران و اساتید شیمی کنکور ایران
عضو انجمن شیمی و مهندسی شیمی ایران از سال ۸۹ تا کنون
فارغ التحصیل دکتری شیمی آلی از تبریز
نمره دفاع از تز دکتری ۲۰
نمره دفاع از پایان نامه کارشناسی ارشد ۲۰
نمره آزمون جامع دوره دکتری ۲۰
اتمام دوره دکتری در ۳ سال تحصیلی با معدل ۲۰
مؤلف بیش از ۷۰ مقاله علمی بین المللی شیمی دارویی در بهترین مجلات شیمی اروپا و آمریکا
داور بین المللی ۱۴ ژورنال علمی شیمی اروپا و آمریکا
انتخاب به عنوان پژوهشگر پر استناد با کسب اچ ایندکس بین المللی ۱۷ از بنیاد پژوهشی آمریکایی گوگل اسکالر
استاد رتبه های تک رقمی و دو رقمی کنکور تجربی تهران
قبولی بیش از صدها دانش آموز در رشته های برتر (پزشکی، دندان پزشکی، داروسازی، شیمی، مکانیک، عمران و برق و ) در دانشگاه های برتر کشور
طراح سوالات شیمی آزمون های آزمایشی
ادیتور و ارزیابی کننده سطح کیفی کتاب های کمک آموزشی و تستی
*************************
استاد نباتی مدرس برتر تهران و کرج و دبیر پروازی به شهرهای شیراز و تبریز و مشهد و اصفهان و قم و اهواز و ساری و رشت و کرمانشاه و مدیر مجموعه آموزشی شیمیدان ایرانی می باشند و با سابقه آموزش از سال 85 تا الان، تدریس درس شیمی کنکور برای چندین رتبه برتر (ده ها تک رقمی و دو رقمی) و همچنین دانش آموزان تیزهوشان تهران و شیراز و اصفهان و تبریز و رشت و ارومیه و خرم آباد و .... و برترین مدارس و آموزشگاه های ایران را دارند.
استاد مهدی نباتی بر اساس آخرین رنکینگ دبیران شیمی ایران که همه ساله توسط موسسات آموزشی برند ایران اعلام می شود هم اکنون رنکینگ شماره 1 دبیران شیمی ایران را دارند.
**************
شماره تماس (پیام رسان imo) 09053190439 جهت هماهنگی کلاس های خصوصی آنلاین و حضوری شیمی کنکور تجربی و ریاضی

آموزش