حل تمرین ۱ صفحه ۱۱۵ ریاضی دهم تجربی

۰ نظر گزارش تخلف
آموزش ریاضی دبیرستان با تصاعد
آموزش ریاضی دبیرستان با تصاعد

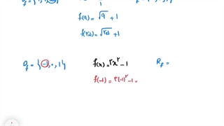
در تمرین ۱ باید یک تابع با دامنه نامتناهی نمایش بدیم و اینکه کدوم نمایش تابع براش بهتره.



خیلی ممنون که با دنبال کردن، نوشتن نظر و لایک هاتون به ما دلگرمی میدید.
اگه انتقاد و پیشنهادی داشتین حتما در قسمت نظرات بهمون بگید تا بررسی کنیم.
و یه خبر خوب اینه که اگه احیانا در طول دیدن ویدئو ها براتون سوالی مربوط به درس پیش اومد علاوه بر قسمت نظرات آپارات می‌تونید به 09193762748 در واتساپ پیام بدین.
موفق باشید.

نظرات

نماد کانال
نظری برای نمایش وجود ندارد.

توضیحات

حل تمرین ۱ صفحه ۱۱۵ ریاضی دهم تجربی

۰ لایک
۰ نظر

در تمرین ۱ باید یک تابع با دامنه نامتناهی نمایش بدیم و اینکه کدوم نمایش تابع براش بهتره.



خیلی ممنون که با دنبال کردن، نوشتن نظر و لایک هاتون به ما دلگرمی میدید.
اگه انتقاد و پیشنهادی داشتین حتما در قسمت نظرات بهمون بگید تا بررسی کنیم.
و یه خبر خوب اینه که اگه احیانا در طول دیدن ویدئو ها براتون سوالی مربوط به درس پیش اومد علاوه بر قسمت نظرات آپارات می‌تونید به 09193762748 در واتساپ پیام بدین.
موفق باشید.

آموزش