آموزش ریاضی استاد شاکریان -تابع وارون

۰ نظر گزارش تخلف
مدرسه انلاین سبقت برتر
مدرسه انلاین سبقت برتر

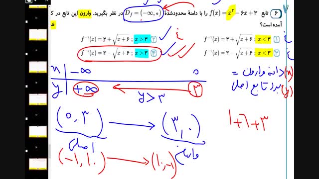
آموزش رایگان مبحث تابع وارون توسط استاد استاد شاکریان
برای دریافت دو جلسه مشاوره رایگان و مشاهده بیش از "100" ساعت فیلم آموزشی رایگان (کلیه دروس تحصیلی) عدد "1400" را به شماره "09350621006" ارسال کنید، یا به سایت www.sebghatebartar.com مراجعه فرمایید.
مدرسه آنلاین سبقت
051-38117 09350621006

نظرات

نماد کانال
نظری برای نمایش وجود ندارد.

توضیحات

آموزش ریاضی استاد شاکریان -تابع وارون

۰ لایک
۰ نظر

آموزش رایگان مبحث تابع وارون توسط استاد استاد شاکریان
برای دریافت دو جلسه مشاوره رایگان و مشاهده بیش از "100" ساعت فیلم آموزشی رایگان (کلیه دروس تحصیلی) عدد "1400" را به شماره "09350621006" ارسال کنید، یا به سایت www.sebghatebartar.com مراجعه فرمایید.
مدرسه آنلاین سبقت
051-38117 09350621006

آموزش