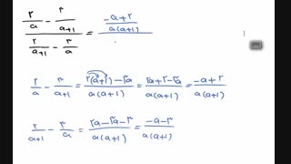
تدریس جمع و تفریق عبارات گویا - ریاضی نهم

Sina
Sina

فیلم آموزشی تدریس ریاضی نهم توسط دبیر ریاضی صابر نوری
جمع و تفریق عبارات گویا
مدرسه پسرانه غیر انتفایی سینا منطقه 6 تهران
www.sinahighschool.ir

نظرات

نماد کانال
نظری برای نمایش وجود ندارد.

توضیحات

تدریس جمع و تفریق عبارات گویا - ریاضی نهم

۰ لایک
۰ نظر

فیلم آموزشی تدریس ریاضی نهم توسط دبیر ریاضی صابر نوری
جمع و تفریق عبارات گویا
مدرسه پسرانه غیر انتفایی سینا منطقه 6 تهران
www.sinahighschool.ir

آموزش