معادلات تفکیک پذیر

تمرین خانه
تمرین خانه

سلام دوست عزیزم
حسین نظری هستم از وب سایت تمرین خانه
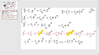
یک نمونه سوال از میان ترم معادلات دیفرانسیل آوردم و با جزئیات کامل حل کردم .

برای مشاهده توضیحات محصول حل تمرین معادلات دیفرانسیل مرتبه اول روی لینک زیر کلیک کنید با تشکر

https://tamrinkhane.com/product/moadelat-ta1/

نظرات

نماد کانال
نظری برای نمایش وجود ندارد.

توضیحات

معادلات تفکیک پذیر

۰ لایک
۰ نظر

سلام دوست عزیزم
حسین نظری هستم از وب سایت تمرین خانه
یک نمونه سوال از میان ترم معادلات دیفرانسیل آوردم و با جزئیات کامل حل کردم .

برای مشاهده توضیحات محصول حل تمرین معادلات دیفرانسیل مرتبه اول روی لینک زیر کلیک کنید با تشکر

https://tamrinkhane.com/product/moadelat-ta1/

آموزش