حل تمرین ۷ صفحه ۵۳ ریاضی دهم تجربی

۰ نظر گزارش تخلف
آموزش ریاضی دبیرستان با تصاعد
آموزش ریاضی دبیرستان با تصاعد

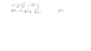
در تمرین هفتم قراره اعداد توان‌دار و رادیکالی رو باهم مقایسه کنیم.

کانال ما رو دنبال کنید تا از ویدئو هایی که میزاریم با خبر باشید. رضایت از ویدئوها رو با دادن لایک نشون بدین بهمون. اگه انتقاد یا پیشنهادی داشتین در بخش نظرات برای ما بنویسید. خوشحال میشیم اگه کانال رو به دوستان یا همکلاسی هاتون معرفی کنین تا ازش استفاده کنن.به سایت آموزش ریاضی تصاعد هم سر بزنید..

نظرات

نماد کانال
نظری برای نمایش وجود ندارد.

توضیحات

حل تمرین ۷ صفحه ۵۳ ریاضی دهم تجربی

۰ لایک
۰ نظر

در تمرین هفتم قراره اعداد توان‌دار و رادیکالی رو باهم مقایسه کنیم.

کانال ما رو دنبال کنید تا از ویدئو هایی که میزاریم با خبر باشید. رضایت از ویدئوها رو با دادن لایک نشون بدین بهمون. اگه انتقاد یا پیشنهادی داشتین در بخش نظرات برای ما بنویسید. خوشحال میشیم اگه کانال رو به دوستان یا همکلاسی هاتون معرفی کنین تا ازش استفاده کنن.به سایت آموزش ریاضی تصاعد هم سر بزنید..

آموزش