حل تمرین ۱ صفحه ۸۱ ریاضی دهم

۰ نظر گزارش تخلف
آموزش ریاضی دبیرستان با تصاعد
آموزش ریاضی دبیرستان با تصاعد

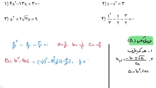
اینبار می‌خواهیم چهار معادله سهمی رو رسم کنیم.


ممنون از توجه‌تون. ما امیدواریم که ویدئو برای شما، با کیفیت و مطلوب باشه.خوشحال میشیم نظرات و پیشنهادهای خودتون رو در قسمت نظرات اعلام کنین. ما رو به دوستان و همکلاسی‌های خودتون هم معرفی کنین.به سایت آموزش ریاضی تصاعد سر بزنید.

نظرات

نماد کانال
نظری برای نمایش وجود ندارد.

توضیحات

حل تمرین ۱ صفحه ۸۱ ریاضی دهم

۵ لایک
۰ نظر

اینبار می‌خواهیم چهار معادله سهمی رو رسم کنیم.


ممنون از توجه‌تون. ما امیدواریم که ویدئو برای شما، با کیفیت و مطلوب باشه.خوشحال میشیم نظرات و پیشنهادهای خودتون رو در قسمت نظرات اعلام کنین. ما رو به دوستان و همکلاسی‌های خودتون هم معرفی کنین.به سایت آموزش ریاضی تصاعد سر بزنید.