Saeedeh Mahmoodi
Saeedeh Mahmoodi

Saeedeh Mahmoodi

رسم تابع سینوس ۱۳:۳۷
توابع پله ای ۱۱:۵۸
۴ سال پیش
تقسیم و بخش پذیری ۱۳:۰۹
فاصله ی نقطه از خط ۱۳:۴۱
ضریب تغییرات ۱۲:۵۰
۴ سال پیش
شاخص های پراکندگی ۰۹:۵۸
حالات مختلف احتمال ۱۷:۴۸
پیشامدهای مستقل ۱۳:۱۰
احتمال شرطی ۰۸:۴۷
۴ سال پیش
مقایسه حد و پیوستگی ۰۸:۲۶
رفع ابهام ٢ ۰۹:۲۷
۴ سال پیش
پیوستگی ۱۸:۴۹
۴ سال پیش
رفع ابهام ۰۷:۴۹
۴ سال پیش
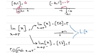
حد جز صحیح ۰۷:۴۲
۴ سال پیش
تعیین نقطه عطف ۰۷:۵۳
جهت تقعر ۱۱:۲۸
۴ سال پیش
کاربرد مشتق(مثال) ۱۰:۰۶
مربع لاتین ۰۶:۴۹
۴ سال پیش
کاربرد لگاریتم ۱۰:۲۳
معادلات لگاریتمی ۱۰:۰۲
قوانین لگاریتم ۰۷:۱۴
جایشگت های تکراری ٢ ۱۲:۲۱
مشتق توابع مثلثاتی ۱۵:۵۴
رسم تابع لگاریتم ۱۴:۰۸
احتمال شرطی قسمت دوم ۱۱:۴۲
احتمال شرطی ۱۰:۰۵
۴ سال پیش
حل معادلات توانی ۰۸:۰۴
توابع نمایی ۱۵:۱۸
۴ سال پیش
رسم نمودار سینوس ۱۳:۳۷
نمونه سوال مثلثات ۲۲:۴۸
مثلثات قسمت اخر ۱۷:۰۱
گراف(قسمت سوم) ۱۲:۱۰
بهینه سازی ۱۶:۳۴
۴ سال پیش
دایره مثلثاتی ۱۷:۵۰
گراف قسمت دوم ۱۸:۱۷
اکسترمم های مطلق ۱۳:۵۰
نقاط بحرانی ۱۳:۲۸
۴ سال پیش
اعمال جبری روی توابع ۱۵:۴۰