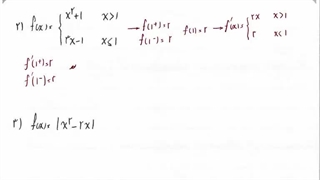
حسابان ( صفر های تابع درجه 2 )

۰ نظر
گزارش تخلف
لوح و قلم ( 64077 - 021 )
لوح و قلم ( 64077 - 021 )

WWW . IK724.ir ======>> محصولات دیگر انتشارات :
*--- (CD) نرم افزار تدریس گام به گام و تمرین کامل موجود است.
**--- کتاب جیبی نکات طلایی و مهم موجود است.
***--- برنامه قابل استفاده در موبایل با نام چراغ موجود است.
telegram.me/joinchat/B6UooTwT4wKM83WWjJCi6Q

نظرات

نماد کانال
نظری برای نمایش وجود ندارد.

توضیحات

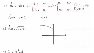
حسابان ( صفر های تابع درجه 2 )

۲ لایک
۰ نظر

WWW . IK724.ir ======>> محصولات دیگر انتشارات :
*--- (CD) نرم افزار تدریس گام به گام و تمرین کامل موجود است.
**--- کتاب جیبی نکات طلایی و مهم موجود است.
***--- برنامه قابل استفاده در موبایل با نام چراغ موجود است.
telegram.me/joinchat/B6UooTwT4wKM83WWjJCi6Q

آموزش