تحلیل سوالات فیزیک رشته ریاضی آزمون 7 آذر ماه 99

تحلیل آزمون رشته ریاضی 1399-1400

۲۲ ویدیو

تحلیل سوالات فیزیک آزمون 17 بهمن ماه گزینه دو رشته ریاضی [ قسمت دوم ]

استاد سعیدفر
کانال تایید شده استاد سعیدفر

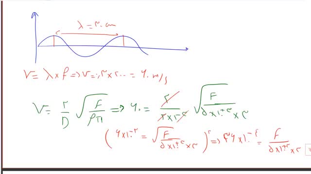
تحلیل آزمون گزینه دو روز 17 بهمن ماه برای دانش آموزان رشته ریاضی دوازدهم قسمت دوم در اختیار شما قرار گرفته است تا از نکات آن استفاده لازم در آزمون های بعدی خود را ببرید .
ostadsaeedfar.ir
zil.ink/saeedfar

نظرات

نماد کانال
نظری برای نمایش وجود ندارد.

توضیحات

تحلیل سوالات فیزیک آزمون 17 بهمن ماه گزینه دو رشته ریاضی [ قسمت دوم ]

۰ لایک
۰ نظر

تحلیل آزمون گزینه دو روز 17 بهمن ماه برای دانش آموزان رشته ریاضی دوازدهم قسمت دوم در اختیار شما قرار گرفته است تا از نکات آن استفاده لازم در آزمون های بعدی خود را ببرید .
ostadsaeedfar.ir
zil.ink/saeedfar

آموزش