آشنایی با عناصر مدارالکتریکی ، مدارالکتریکی 1 – آکادمی نیک درس

بریده آموزش مدارهای الکتریکی 1

۸ ویدیو

بررسی معادلات مرتبه دوم RLC، مدارالکتریکی 1 – آکادمی نیک درس

آکادمی نیک درس
کانال تایید شده آکادمی نیک درس

بیش از 10 ساعت آموزش مدارالکتریکی 1 با کیفیت بالا، حجم کم و هزینه پایین در آکادمی نیک درس در اختیار مخاطبین قرار دارد.
درس مدارهای الکتریکی 1 یکی از مهمترین دروس رشته مهندسی برق محسوب شده و نیازمند یادگیری دقیق و عمیق مفاهیم مورد استفاده می باشد.
مباحثی که در این آموزش مطرح شده‌اند شامل عناصر مدار الکتریکی مانند سلف و خازن، قوانین KVL و KCL، تحلیل مدارهای الکتریکی به روش‌های حلقه، ولتاژ گره و … بوده، محاسبه مدار معادل تونن و نورتن، بررسی معادلات مرتبه اول RC و RL، مرتبه دوم RLC بوده و همچنین بررسی مدار در حوزه فازور و … می باشد.
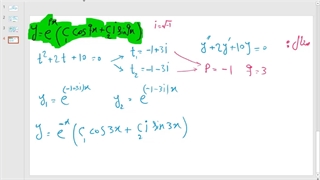
در این فصل، به بررسی مدارهای مرتبه دوم و گسترده‌تر می‌پردازیم که از نوع مدارهای RLC هستند. این نوع مدارها به صورت سری و موازی به صورت کامل تحلیل و بررسی می‌شوند.
------------------
جهت تهیه کامل آموزش می‌توانید از لینک زیر اقدام نمائید.
https://nikdars.com/edu/mmtmdr01-00023-electric-circuits-1/
در صورت تمایل به تدریس در آکادمی نیک درس، مهارت‌های خود را در فرم همکاری با ما در وب سایت آکادمی نیک درس وارد نمائید.
https://NikDars.com

نظرات

نماد کانال
نظری برای نمایش وجود ندارد.

توضیحات

بررسی معادلات مرتبه دوم RLC، مدارالکتریکی 1 – آکادمی نیک درس

۰ لایک
۰ نظر

بیش از 10 ساعت آموزش مدارالکتریکی 1 با کیفیت بالا، حجم کم و هزینه پایین در آکادمی نیک درس در اختیار مخاطبین قرار دارد.
درس مدارهای الکتریکی 1 یکی از مهمترین دروس رشته مهندسی برق محسوب شده و نیازمند یادگیری دقیق و عمیق مفاهیم مورد استفاده می باشد.
مباحثی که در این آموزش مطرح شده‌اند شامل عناصر مدار الکتریکی مانند سلف و خازن، قوانین KVL و KCL، تحلیل مدارهای الکتریکی به روش‌های حلقه، ولتاژ گره و … بوده، محاسبه مدار معادل تونن و نورتن، بررسی معادلات مرتبه اول RC و RL، مرتبه دوم RLC بوده و همچنین بررسی مدار در حوزه فازور و … می باشد.
در این فصل، به بررسی مدارهای مرتبه دوم و گسترده‌تر می‌پردازیم که از نوع مدارهای RLC هستند. این نوع مدارها به صورت سری و موازی به صورت کامل تحلیل و بررسی می‌شوند.
------------------
جهت تهیه کامل آموزش می‌توانید از لینک زیر اقدام نمائید.
https://nikdars.com/edu/mmtmdr01-00023-electric-circuits-1/
در صورت تمایل به تدریس در آکادمی نیک درس، مهارت‌های خود را در فرم همکاری با ما در وب سایت آکادمی نیک درس وارد نمائید.
https://NikDars.com

آموزش