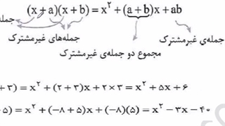
ریاضی 9 - فصل 5 - بخش 5 : تجزیه اتحاد جمله مشترک

۱ نظر گزارش تخلف
تلویزیون ریاضی
تلویزیون ریاضی

ریاضی 9 - فصل 5 - بخش 5

توضیحات: تجزیه اتحاد جمله مشترک

پیشنیاز: ریاضی هشتم فصل 4 جبر و معادله، ریاضی نهم فصل 1 مجموعه ها و فصل 4 توان و ریشه

➖➖➖➖➖➖➖
« تلویزیون ریاضی »
کیفیت HD و دسته بندی شده در وبسایت www.TvRiazi.com
کانال تلگرام @TvRiazi
➖➖➖➖➖➖➖

نظرات (۱)

Loading...

توضیحات

ریاضی 9 - فصل 5 - بخش 5 : تجزیه اتحاد جمله مشترک

۶ لایک
۱ نظر

ریاضی 9 - فصل 5 - بخش 5

توضیحات: تجزیه اتحاد جمله مشترک

پیشنیاز: ریاضی هشتم فصل 4 جبر و معادله، ریاضی نهم فصل 1 مجموعه ها و فصل 4 توان و ریشه

➖➖➖➖➖➖➖
« تلویزیون ریاضی »
کیفیت HD و دسته بندی شده در وبسایت www.TvRiazi.com
کانال تلگرام @TvRiazi
➖➖➖➖➖➖➖

آموزش