مثال برای اتحاد جمله مشترک با جواب

۰ نظر
گزارش تخلف
محمدی
محمدی

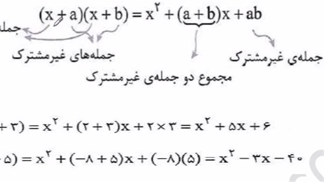
در این فیلم آموزشی مثال برای اتحاد جمله مشترک با جواب ارائه شده است. یکی از مهمترین اتحادها که کاربرد زیادی هم دارد اتحاد جمله مشترک است. در شکل زیر اتحاد جمله مشترک که به دو صورت نوشته شده است را مشاهده می نمائید. در سطر اول داخل هر دو پرانتز سمت چپ علامت + وجود دارد در حالی که در سطر دوم داخل یکی از پرانتزها علامت مثبت و در دیگری علامت منفی وجود دارد. به سمت راست اتحاد در هر دو سطر اگر نگاه کنید تقریبا نتیجه مشابهی بدست آمده است با این تفاوت که در سطر دوم بعضی جاها از علامت منفی استفاده کرده ایم. این اتحاد به راحتی قابل اثبات است و کافی است در سمت چپ پرانتزها را در هم ضرب نمائید تا عبارت های سمت راست بدست بیایند. برای کسب اطلاعات بیشتر مقاله زیر را بخوانید.
https://www.iranmodares.com/article-index.php?ID=7559
در سایت ویکی پدیا هم در رابطه با انواع اتحادها توضیحات کاملی در صفحه زیر ارائه شده است.
https://fa.wikipedia.org/wiki/%D8%A7%D8%AA%D8%AD%D8%A7%D8%AF_%D9%88_%D8%AA%D8%AC%D8%B2%DB%8C%D9%87
در این نمونه فیلم معلم خصوصی ریاضی نهم آموزش اتحاد جمله مشترک همراه با مثال ارائه شده است. اتحاد جمله مشترک برای حل معادله های درجه 2 و برای تجزیه عبارت های درجه 2 مورد استفاده قرار می گیرد و بسیار مهم و پرکاربرد است.

نظرات

نماد کانال
نظری برای نمایش وجود ندارد.

توضیحات

مثال برای اتحاد جمله مشترک با جواب

۰ لایک
۰ نظر

در این فیلم آموزشی مثال برای اتحاد جمله مشترک با جواب ارائه شده است. یکی از مهمترین اتحادها که کاربرد زیادی هم دارد اتحاد جمله مشترک است. در شکل زیر اتحاد جمله مشترک که به دو صورت نوشته شده است را مشاهده می نمائید. در سطر اول داخل هر دو پرانتز سمت چپ علامت + وجود دارد در حالی که در سطر دوم داخل یکی از پرانتزها علامت مثبت و در دیگری علامت منفی وجود دارد. به سمت راست اتحاد در هر دو سطر اگر نگاه کنید تقریبا نتیجه مشابهی بدست آمده است با این تفاوت که در سطر دوم بعضی جاها از علامت منفی استفاده کرده ایم. این اتحاد به راحتی قابل اثبات است و کافی است در سمت چپ پرانتزها را در هم ضرب نمائید تا عبارت های سمت راست بدست بیایند. برای کسب اطلاعات بیشتر مقاله زیر را بخوانید.
https://www.iranmodares.com/article-index.php?ID=7559
در سایت ویکی پدیا هم در رابطه با انواع اتحادها توضیحات کاملی در صفحه زیر ارائه شده است.
https://fa.wikipedia.org/wiki/%D8%A7%D8%AA%D8%AD%D8%A7%D8%AF_%D9%88_%D8%AA%D8%AC%D8%B2%DB%8C%D9%87
در این نمونه فیلم معلم خصوصی ریاضی نهم آموزش اتحاد جمله مشترک همراه با مثال ارائه شده است. اتحاد جمله مشترک برای حل معادله های درجه 2 و برای تجزیه عبارت های درجه 2 مورد استفاده قرار می گیرد و بسیار مهم و پرکاربرد است.